Регулятор скорости VRTT-L11
НДС включен в стоимость |
НДС включен в стоимость |
Трансформаторные регуляторы скорости VRTT-L
Трехфазные пятиступенчатые регуляторы VRТT предназначены для управления скоростью вращения электродвигателей вентиляторов, посредством изменения питающего напряжение. Допускается управление несколькими двигателями, если общий потребляемый ток двигателей не превышает номинального тока регулятора.
В регуляторах скорости предусмотрен нерегулируемый выход 230 В, который может использоваться для подключения электроприводов воздушных заслонок или другого оборудования. Кроме этого, у регуляторов есть нормально замкнутый и нормально разомкнутый контакты для внешнего управления.
Корпус регуляторов изготовлен из окрашенной стали. Индикаторная лампочка на передней панели показывает состояние регулятора. Входная цепь регуляторов защищена плавким предохранителем.
Регулирование скорости
Регулирование скорости электродвигателей осуществляется вручную с помощью выбора требуемого положения ручки переключателя (0 - выкл., 1 - мин. скорость, 5 - макс. скорость, 2, 3, 4 - промежуточные положения). Выходное напряжение: 130-145-185-240-400 В.
Защита двигателя
Рекомендуется подключать к регуляторам электродвигатели с вынесенными термоконтактами тепловой защиты, которые подсоединяются с клеммами ТК регулятора. Если термоконтакты размыкаются при перегреве двигателя, цепь регулятора разрывается, и двигатель останавливается и загорается индикатор аварии. Функция автоматического перезапуска ОТСУТСТВУЕТ. После устранения причины перегрева двигатель можно перезапустить, установив переключатель на время, необходимое для его остывания, в положение 0 (выключено).
Если двигатель не имеет термоконтактов, отдельно необходимо установить устройство тепловой защиты электродвигателя.
|
Модель |
Напряжение, В/Гц |
Макс. ток, A |
Степень защиты |
Габаритные размеры, ВхШхГ, мм |
Вес, кг |
|
VRTT-L 1,5 |
400/50 |
1,5 |
IP 54 |
325x300x175 |
11,9 |
|
VRTT-L 2,5 |
400/50 |
2,5 |
IP 54 |
325x300x175 |
13,3 |
|
VRTT-L 4 |
400/50 |
4,0 |
IP 54 |
425x300x175 |
18,5 |
|
VRTT-L 6 |
400/50 |
6,0 |
IP 54 |
425x300x235 |
22,6 |
|
VRTT-L 8 |
400/50 |
8,0 |
IP 54 |
425x300x235 |
27,8 |
|
VRTT-L 11 |
400/50 |
11,0 |
IP 54 |
430x300x235 |
38,5 |
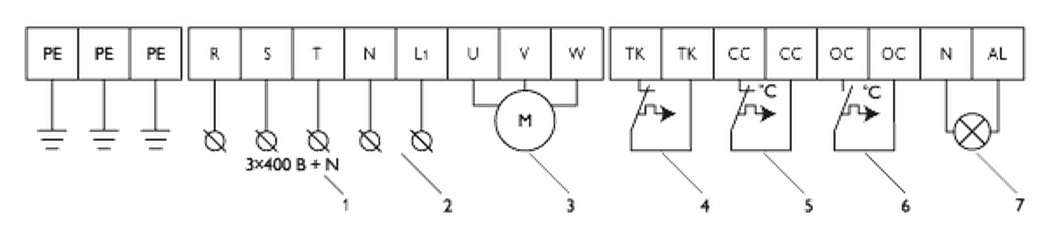
Схема подключения

1. Электропитание 400 В, 3 ф. + нейтраль
2. Нерегулируемый выход 230 В
3. Двигатель
4. Контакты защиты двигателя ТК
5. Дополнительные НЗ контакты для управления или защиты
6. Дополнительные НО контакты для управления или защиты
7. Выход 230 В для аварийного сигнала
Склад станция Буссевка : 0.000 шт
Склад станция Вяземская: 0.000 шт
Склад ст. Дальнереченск : 0.000 шт
Склад ст. Кондратьево: 0.000 шт
Склад станция Селезнево: 0.000 шт
Склад станция Синдор: 0.000 шт
Склад станция Буссевка : 117 шт.
Склад станция Вяземская: 40 шт.
Склад ст. Дальнереченск : 42 шт.
Склад ст. Кондратьево: 59 шт.
Склад станция Селезнево: 29 шт.
Склад станция Синдор: 22 шт.